• Предмет: Алгебра
  • Автор: mrry2949
  • Вопрос задан 2 года назад

ПОМОГИТЕ ПРОШУУУ 7 класс

Приложения:

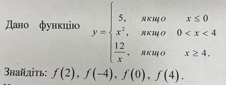
Simba2017: f(2)=4;f(-4)=5;f(0)=5; f(4)=3

Ответы

Ответ дал: сок111213
2

x = 2 , рассматриваем часть функции у = х²

f(2) = 2² = 4

x = - 4 , рассматриваем часть функции у = 5

f(-4) = 5

x = 0 , рассматриваем часть функции у = 5

f(0) = 5

x = 4 , рассматриваем часть функции у = 12/x

f(4) = 12/4 = 3

Вас заинтересует