Ответы
                                            Ответ дал: 
                                                                                            
                                                    
                                                
                                                                                    
                                        
                                            
                                                
                                                
                                                
                                                    0
                                                
                                            
                                        
                                    ....................
Приложения:
                    
                            
                            
                                            Ответ дал: 
                                                                                    
                                        
                                            
                                                
                                                
                                                
                                                    0
                                                
                                            
                                        
                                    Пошаговое объяснение:
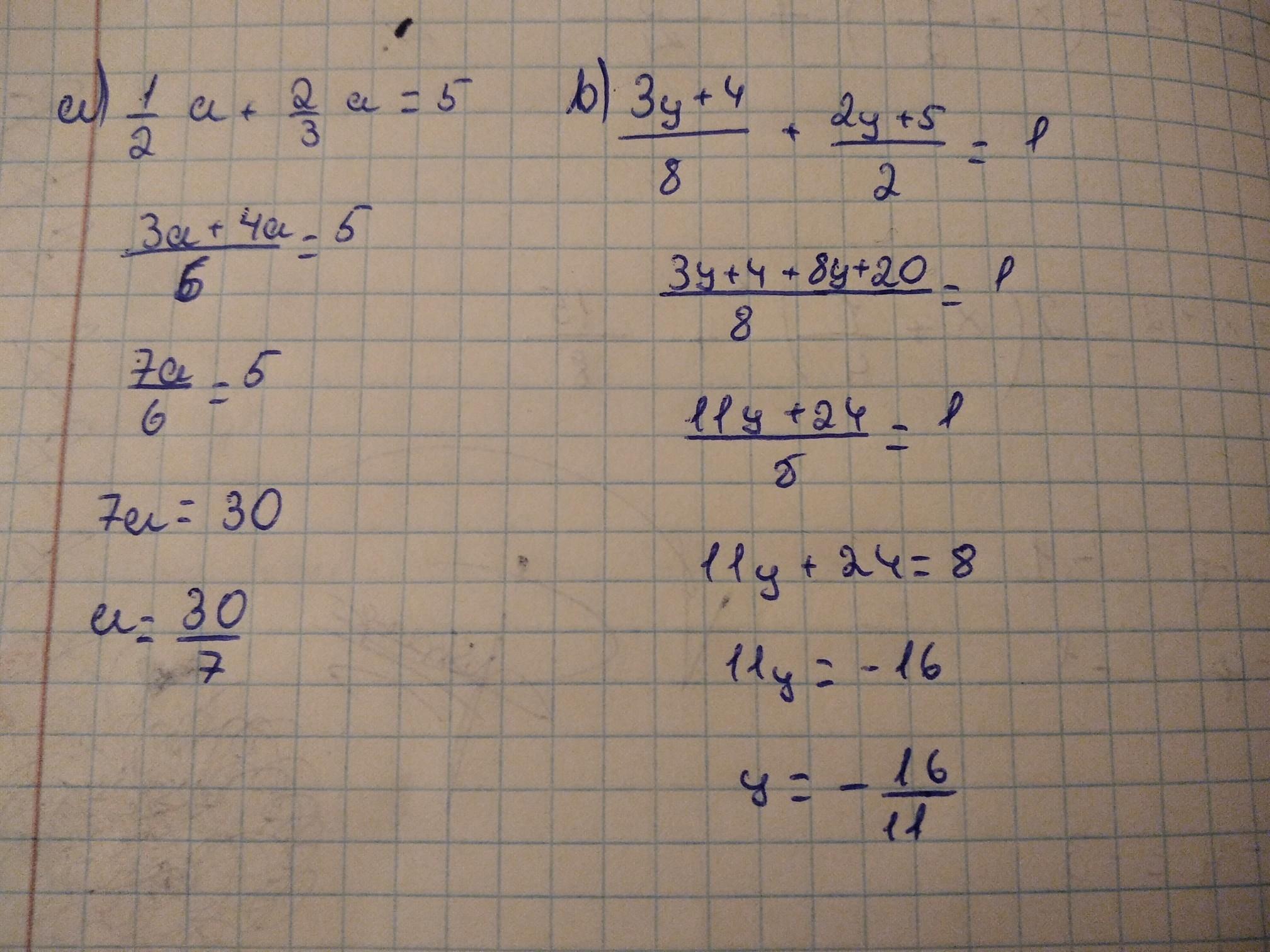
1/2а + 2/3а = 5
3/6а + 4/6а = 5
7/6а = 5
а = 5 : 7/6
а = 5 * 6/7
а = 30/7
а = 4 2/7
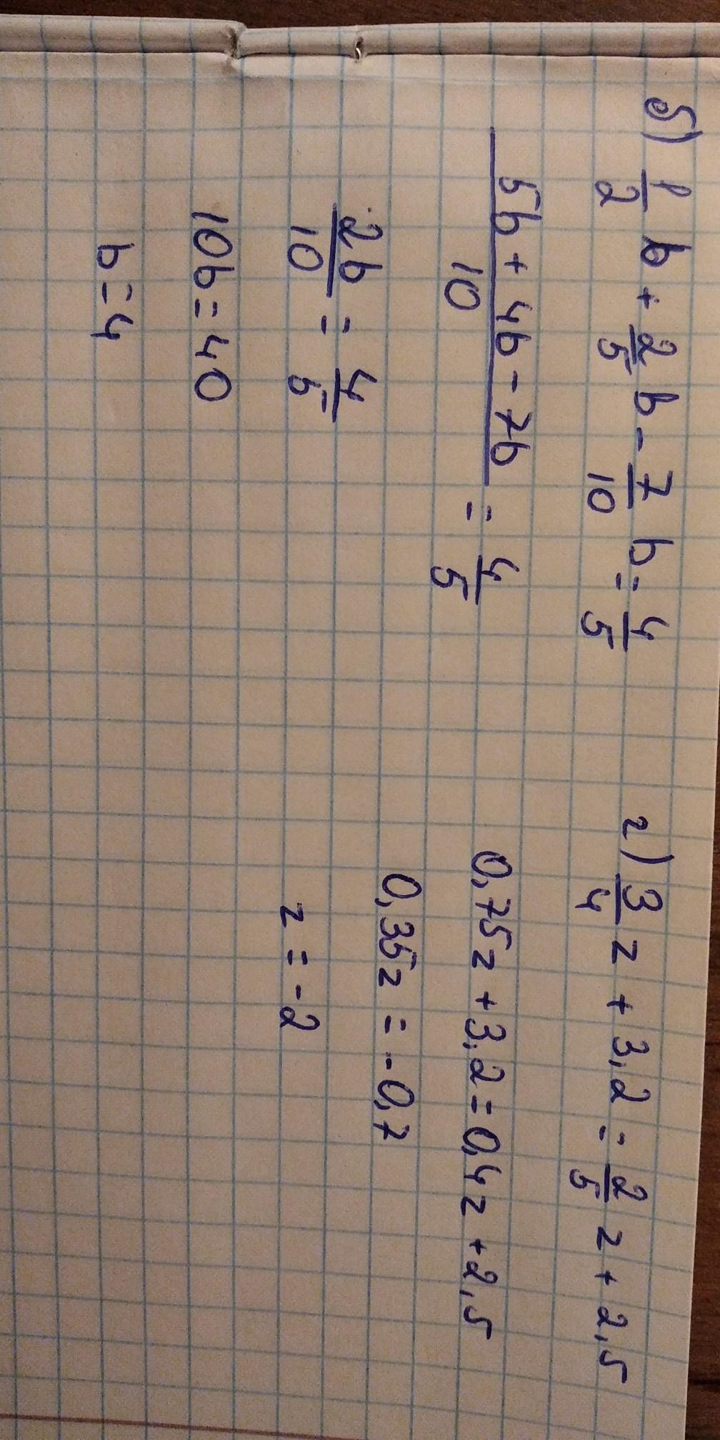
1/2в + 2/5в - 7/10в = 4/5
5/10в + 4/10в - 7/10в = 4/5
2/10в = 4/5
в = 4/5 : 2/10
в = 4/5 * 10/2
в = 40/10
в = 4
(3у + 4)/8 + (2у + 5)/2 = 1 | * 8
(3у + 4) + 4(2у + 5) = 8
3у + 4 + 8у + 20 = 8
11у + 24 = 8
11у = 8 - 24
11у = -16
у = -16 : 11
у = -16/11
у = -1 5/11
3/4z + 3,2 = 2/5z + 2,5
3/4z - 2/5z = 2,5 - 3,2
15/20z - 8/20z = -0,7
7/20z = -7/10
z = -7/10 : 7/20
z = -7/10 * 20/7
z = -1/1 * 2/1
z = -2/1
z = -2
Вас заинтересует
                
                        1 год назад
                    
                
                        1 год назад
                    
                
                        1 год назад
                    
                
                        1 год назад
                    
                
                        3 года назад
                    
                
                        3 года назад
                    
                
                        8 лет назад
                    
                
                        8 лет назад