Решите неполное квадратное уравнение с помощью теоремы Виета, пожалуйста. Дам 40 баллов.
Приложения:

Ответы
Ответ дал:
0
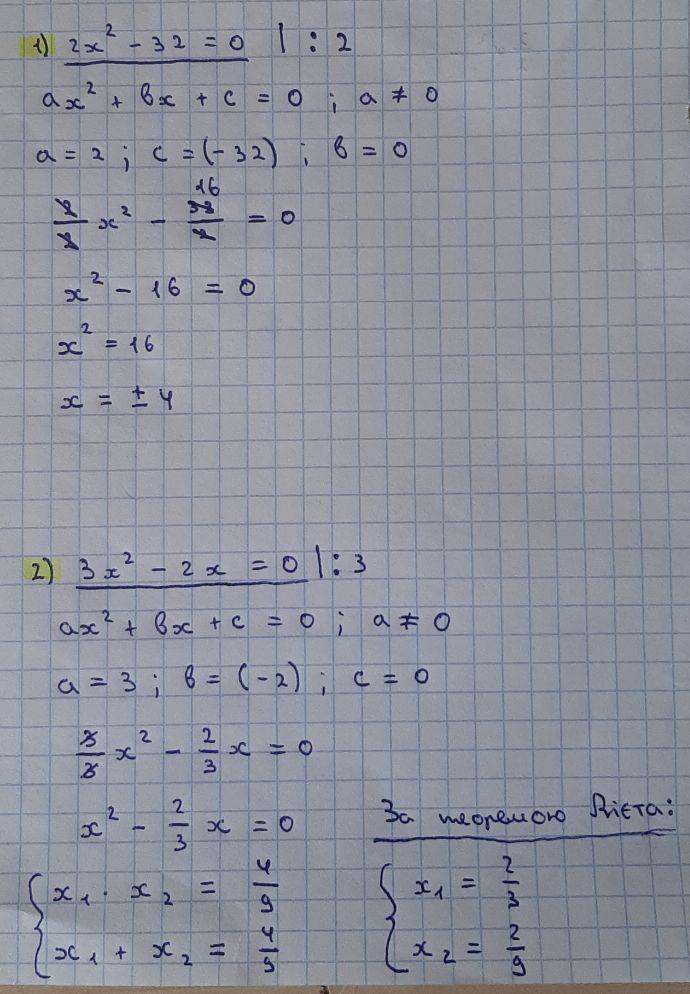
1)
2)
Ответ дал:
0
Відповідь на фото:
Если что то будет не понятно говорите я обьясню!
Приложения:

Вас заинтересует
1 год назад
1 год назад
1 год назад
3 года назад
8 лет назад