• Предмет: Алгебра
  • Автор: e10622378
  • Вопрос задан 2 года назад

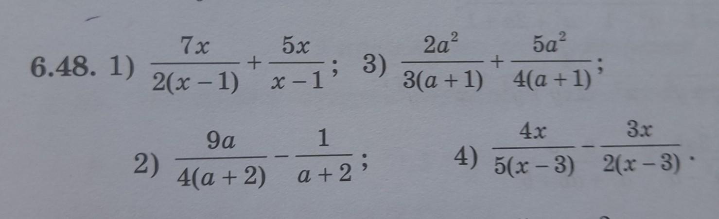
10 баллов даю 6.48 только 3 и 4 пжжжж​

Приложения:

Ответы

Ответ дал: kotovskijguf
0

Ответ:

вот надеюсь что я помог тебе

Приложения:

e10622378: мне нужно решение
kotovskijguf: ок
e10622378: пж пж пж пж пж пж
kotovskijguf: вот и можно лучший ответ
Вас заинтересует