ПРОШУ О ПОМОЩИ !!ОЧЕНЬ НУЖНО ДО ЗАВТРА!!! ДАЮ 15
Приложения:

ГАЗ52:
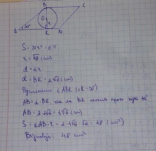
Радиус, вписанной окружности равен √6. Тогда диаметр 2√6 см. Значит ВК=2√6. Ну тогда по свойству угла в 30° , АВ=4√6. И всё стороны ромба 4√6. Площадь равна 4√6•2√6=48
Ответы
Ответ дал:
1
Ответ:
48 см^2
Объяснение:
поставь лучший ответ , будь добр
спасибо
Приложения:

Вас заинтересует
1 год назад
1 год назад
1 год назад
3 года назад
3 года назад
8 лет назад