• Предмет: Алгебра
  • Автор: dzubamaxim17
  • Вопрос задан 2 года назад

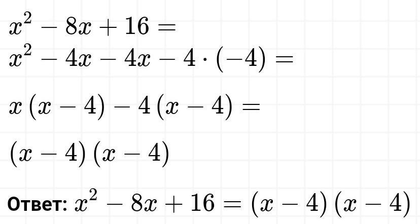
1. Розкладіть квадратний тричлен х^2-8х+16 на множники, якщо це можливо.
2. Розкладіть квадратний тричлен -2х^2 +5х-9 на множники, якщо це можливо.
3. Знайдіть корені квадратного тричлена -2х-6х.
Допоможіть будь ласка

Ответы

Ответ дал: Sultan0v
1

____________________

Приложения:
Вас заинтересует