• Предмет: Математика
  • Автор: kdikusar38
  • Вопрос задан 2 года назад

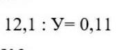
помогите пожалуйста, очень срочно​

Приложения:

Ответы

Ответ дал: fatimakerimbekova5
0

Ответ:

крч вот наверное правильно

Приложения:

kdikusar38: нет((
Вас заинтересует