• Предмет: Математика
  • Автор: egoryeroshenko2011
  • Вопрос задан 2 года назад

Допоможіть будь ласка

Приложения:

Ответы

Ответ дал: imailalenaf
0

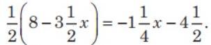
Ответ:1 /2 *(8 - 3  1/ 2)=-1  1/ 2*х - 4  1/ 2

Помножте  обидві частини на  2

8 - 3  1/ 2 = - 2* 1  1 / 2 * х - 2 * 4 1 / 2

Перетворіть мішане число на неправильний  дріб

8 - 7 / 2 = - 2 *1 1 /2 *х - 2 *4 1 / 2

8 - 7 /2 =- 2 *3 /2 х -2 *  4  1 /2

8 - 7 /2 = -2 * 3 /2 х - 2 х 9/2

Скоротіть найбільший спільний дільник 2

8 -7 /2 = - 3х - 2 *9 /2

8 -7 /2 =-3х -9

Обчисліть різницю

9 /2 =-3х -9

Перенесіть  змінну з протилежним знаком у ліву частину

9 /2 +3х =-9

3х =-9 /2

Обчисліть різницю

3х =-27 /2

Розділить  обидві частини рівняня  на  3

Х =-9 /2

Це дідповідь

                             

Вас заинтересует