• Предмет: Математика
  • Автор: Ttthbll
  • Вопрос задан 2 года назад

ПОМОГИТЕ ПОЖАЛУЙСТА!!! Срочно, очень прошу

Приложения:

Ответы

Ответ дал: Ivasinmisa433
1

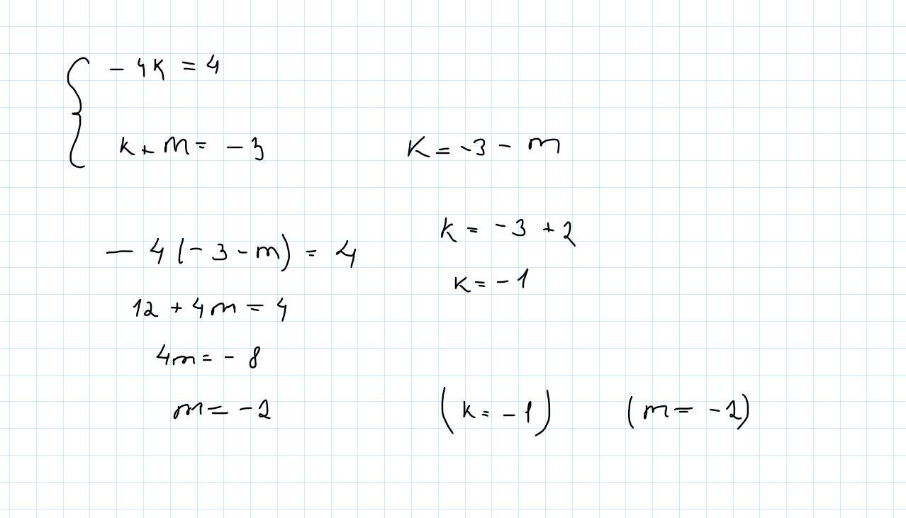
Ответ:

Пошаговое объяснение:

Приложения:
Вас заинтересует