• Предмет: Геометрия
  • Автор: arinkavaryvoda
  • Вопрос задан 2 года назад

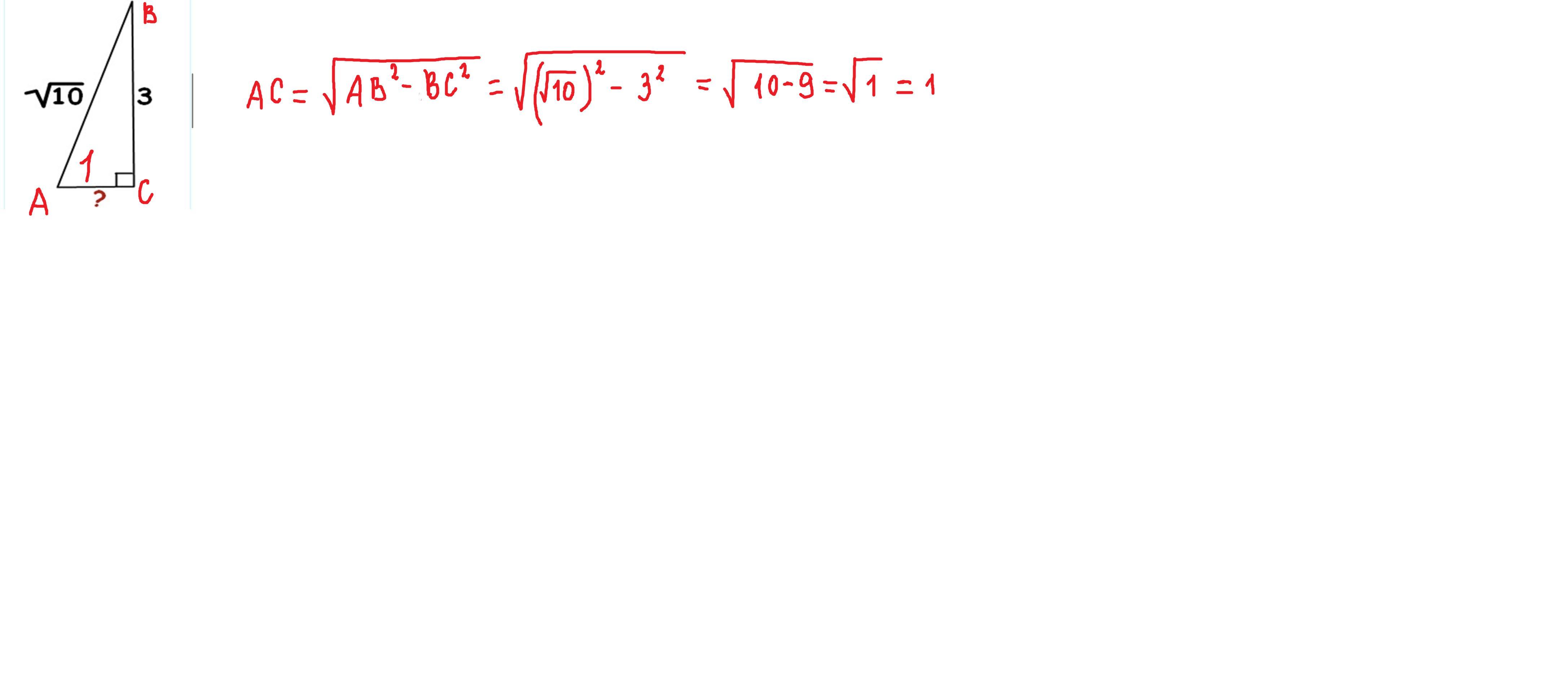
терміново!!
варіанти відповідей:
1) 7
2) корінь 91
3) 1
4) корінь 19

Приложения:

Ответы

Ответ дал: howdieoff
1

Ответ:

Объяснение:

3) 1

бо

x=\sqrt{\sqrt[n]{(10x)^{2} } }-9

x=\sqrt{10-9}

x=\sqrt{1}

x=1

Ответ дал: parus77
1

Ответ:

3) 1

Объяснение:

Т.К треугольник прямоугольный ,то по т.Пифагора находим второй катет,он равен 1

Приложения:
Вас заинтересует