• Предмет: Алгебра
  • Автор: sonikhorni
  • Вопрос задан 2 года назад

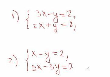
ДОПОМОЖІТЬ БУДЬ ЛАСКА!!!​

Приложения:

Ответы

Ответ дал: tetamotatetyamotya
1

Ответ:

.........

Объяснение:

Приложения:
Вас заинтересует