• Предмет: Алгебра
  • Автор: Poltavou
  • Вопрос задан 2 года назад

Помогите пж!!!!!!!Заранее спасибо

Приложения:

Ответы

Ответ дал: tetamotatetyamotya
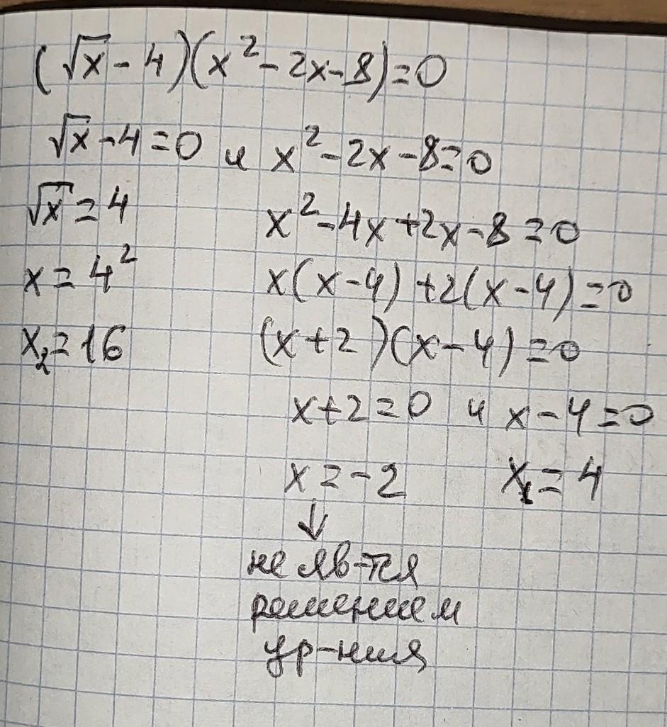
1

Ответ:

.........

Объяснение:

...........

Приложения:

Poltavou: велике дякую !
tetamotatetyamotya: будь ласка♥️
Вас заинтересует