Ответы
Ответ дал:
0
Відповідь:
Покрокове пояснення:
Приложения:

Ответ дал:
0
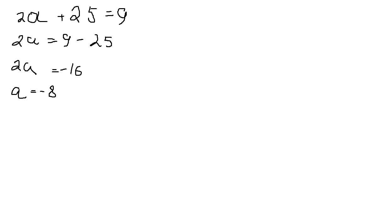
Ответ:
-8
Пошаговое объяснение:
2а + 25 = 9
2а = 9 - 25
2а = -16
а = -16 : 2
а = -8
Вас заинтересует
1 год назад
1 год назад
1 год назад
3 года назад
3 года назад
8 лет назад