• Предмет: Алгебра
  • Автор: andriy301220094
  • Вопрос задан 2 года назад

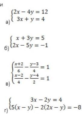
розв'яжіть способом підстановки ​

Приложения:

Ответы

Ответ дал: Аноним
0

Відповідь:

Пояснення:

Приложения:
Вас заинтересует