Доброго вечора, будь ласка допоможіть с цим завданням, І будь ласка Не просто відповісти, а спростити !
Приложения:

Ответы
Ответ дал:
1
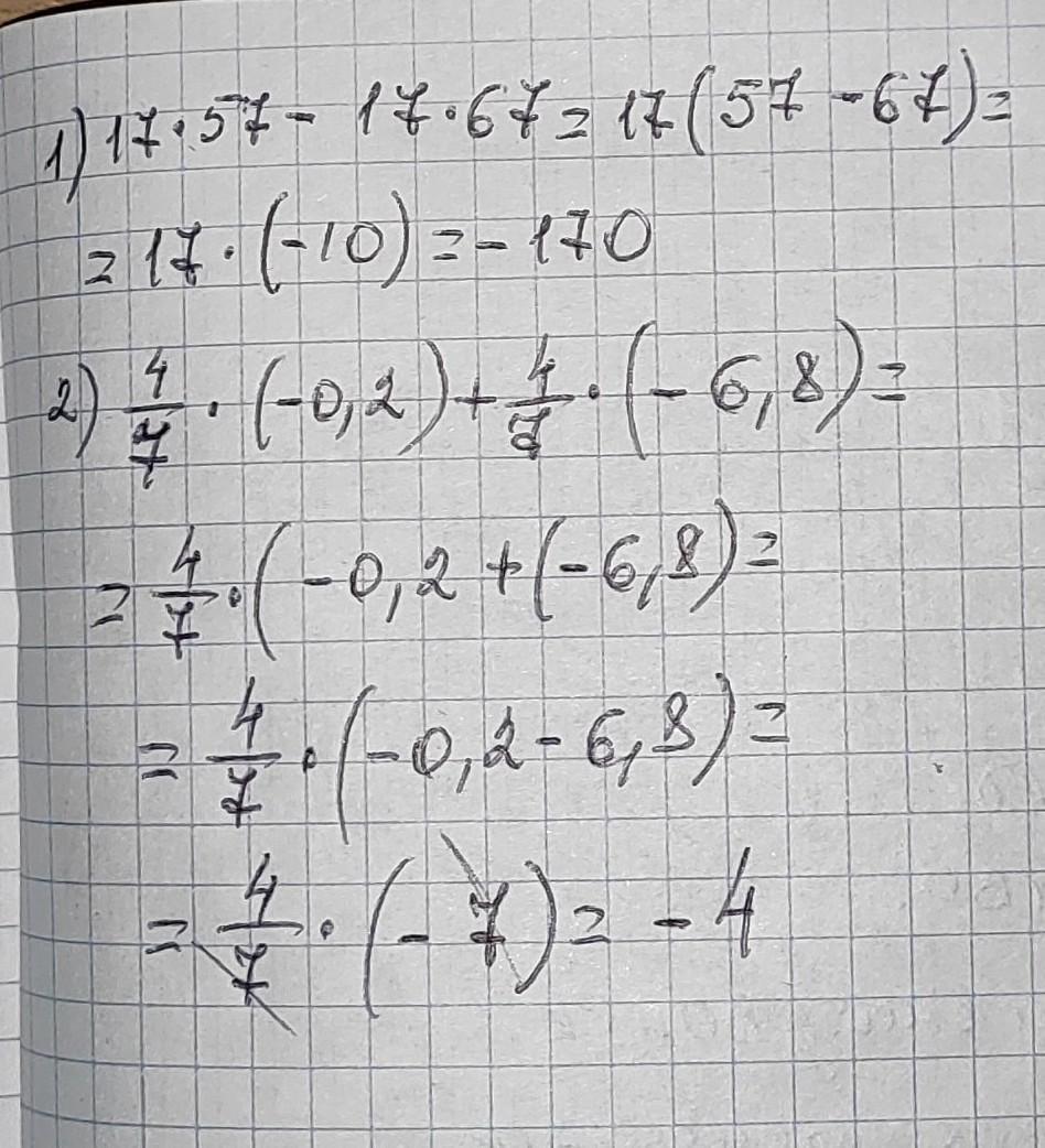
Відповідь:
1) -170;
2) -4.
Покрокове пояснення:
1) 17×57-17×67=17×(57-67)=17×(-10)=-170;
2) 4/7×(-0,2)+4/7×(-6,8)=4/7×(-0,2+(-6,8))=
=4/7×(-7)=4/7×(-7/1)=-4/1=-4.
D3xtyyyy:
я не знаю відповіді але давай дружити я тобі можу навіть бали вернути ті що я получу зараз
Ответ дал:
1
Ответ:
...,.....,.,....
Пошаговое объяснение:
....,.,,.,.......
Приложения:

Вас заинтересует
1 год назад
1 год назад
1 год назад
3 года назад