• Предмет: Алгебра
  • Автор: polinaboykolutsenko
  • Вопрос задан 2 года назад

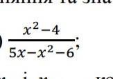
Скоротити. Тільки не з Photomat.​

Приложения:

Ответы

Ответ дал: Universalka
1

\displaystyle\bf\\\frac{x^{2} -4}{5x-x^{2} -6}=-\frac{x^{2} -2^{2} }{x^{2} -5x+6} =-\frac{(x-2)(x+2)}{(x-2)(x-3)} =\\\\\\=-\frac{x+2}{x-3} =\frac{x+2}{3-x}

Вас заинтересует