• Предмет: Математика
  • Автор: pivalalev172
  • Вопрос задан 2 года назад

Визнач пару рівносильних
рівнянь.
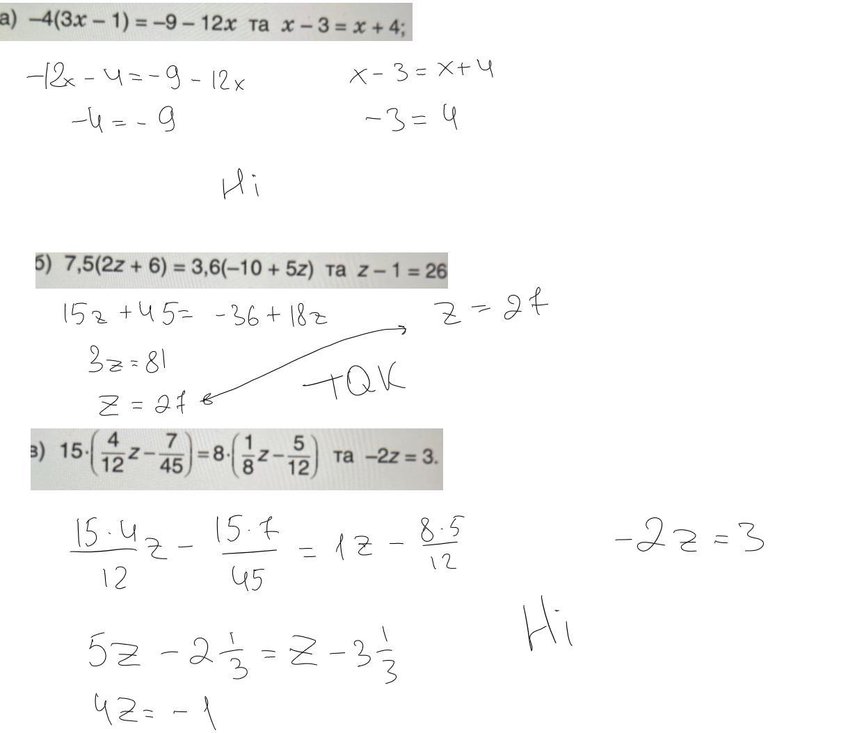
a) — 4(3x – 1) = -9 - 12х та x – 3 = x + 4;
6) 7,5(2z + 6) = 3,6(-10 + 5z) та z-1 = 26;
5
B) 15.
15.(122-15)=8 (132-12
Z-
та −2z = 3.
8

Приложения:

Ответы

Ответ дал: BeraSmoothy
4

Тільки 2 пара є рівносильною!

Приложения:

karneliya2njxrf0: https://znanija.com/task/52599758
karneliya2njxrf0: потрібна допомога
Ответ дал: dyexfnf
2

Ответ:

Пошаговое объяснение:

a)

- 4(3x - 1) = -9 - 12х та   x - 3 = x + 4

-12х + 4 = - 9 - 12х         x - 3 = x + 4

-12х + 12х = -9 - 4          х - х = 4 + 3  

0 ≠ - 13                           0 ≠  7

не рівносильні

б)

7,5(2z + 6) = 3,6(-10 + 5z) та z-1 = 26

15z + 45 = -36 + 18z           z-1 = 26

15z - 18z = -36 - 45            z = 26 + 1

-3z = - 81                             z = 27

z = 27

рівносильні

в)

15(4/12z - 7/45) = 8(1/8z - 5/12) та -2z = 3

5z - 7/3 = z- 10/3                  -2z = 3

5z - z = - 10/3 + 7/3               z = -3/2

4z = -1

z = - 1/4

не рівносильні

Вас заинтересует