• Предмет: Математика
  • Автор: sagdievap
  • Вопрос задан 2 года назад

Помогите пожалуйсто нужно решить 3, 4 и 5 номера по действиям обязательно пожалуйста очень бысто надоо даю 30 баллов!

Приложения:

Ответы

Ответ дал: Studentka89
1

Ответ:

3.

180-18-72=90. Прямоугольный треугольник, так как один угол прямой.

4.

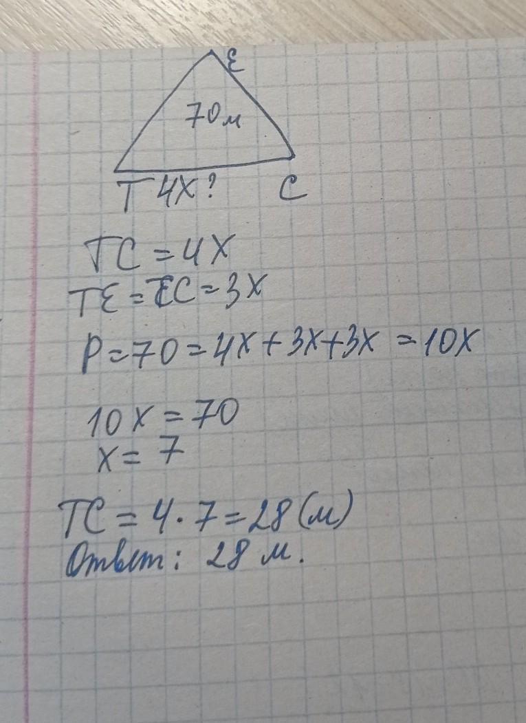
40; 22 и 44 см. Решение на фото.

5. Еще решаю. Скоро дополню ответ

Приложения:

Studentka89: Ответ дополнила вторым фото
Вас заинтересует