• Предмет: Математика
  • Автор: seva09852
  • Вопрос задан 2 года назад

привет помогите пожалуйста срочно надо

Приложения:

Ответы

Ответ дал: usercomfy0709201915
0

Ответ:

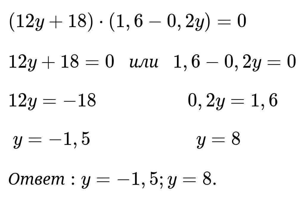
ответ и решение на фотографии

Приложения:
Ответ дал: tatsach
0

Ответ:

Пошаговое объяснение:

Приложения:
Вас заинтересует