• Предмет: Алгебра
  • Автор: emashovnazar
  • Вопрос задан 2 года назад

Решите, пожалуйста. ​

Приложения:

Ответы

Ответ дал: Universalka
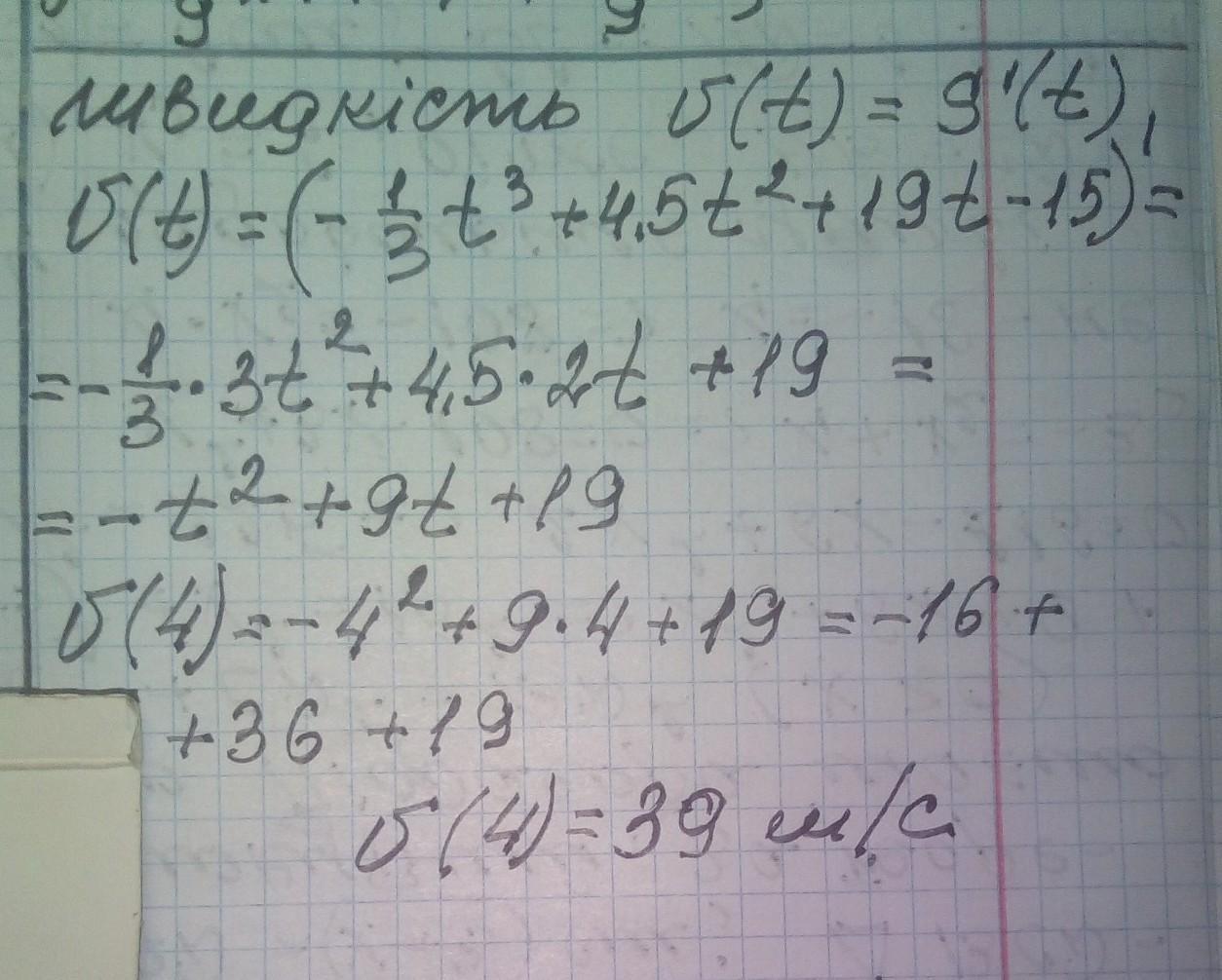
1

\displaystyle\bf\\S(t)=-\frac{1}{3} t^{3} +4,5t^{2} +19t-15\\\\\\V(t)=S'(t)=-\frac{1}{3} \cdot(t^{3} )'+4,5\cdot(t^{2} )'+19\cdot t'-15'=\\\\\\=-\frac{1}{3} \cdot 3t^{2} +4,5\cdot 2t+19\cdot 1-0=-t^{2} +9t+19\\\\\\V(4)=-4^{2} +9\cdot 4+19=-16+36+19=39\\\\\\Otvet \ : \ V(4)=39

Ответ дал: manyny06
0

Ответ:

решение смотри на фотографии

Приложения:
Вас заинтересует