роскладіть квадратний тричлен на множники (помогите пожалуйста)
Приложения:

ВикаБач:
a) =(x+8)(x-9); Корни легко находятся по т Виета х1=-8; х2=9; б) =(х+3)(х+8); Тоже по т Виета, х1=-3; х2=-8; в) D=1+4*4*3=49; x1=(-1-7)/8=-1; x2=(-1+7)/8=3/4=0.75; =(x+1)(x-0.75)
Ответы
Ответ дал:
1
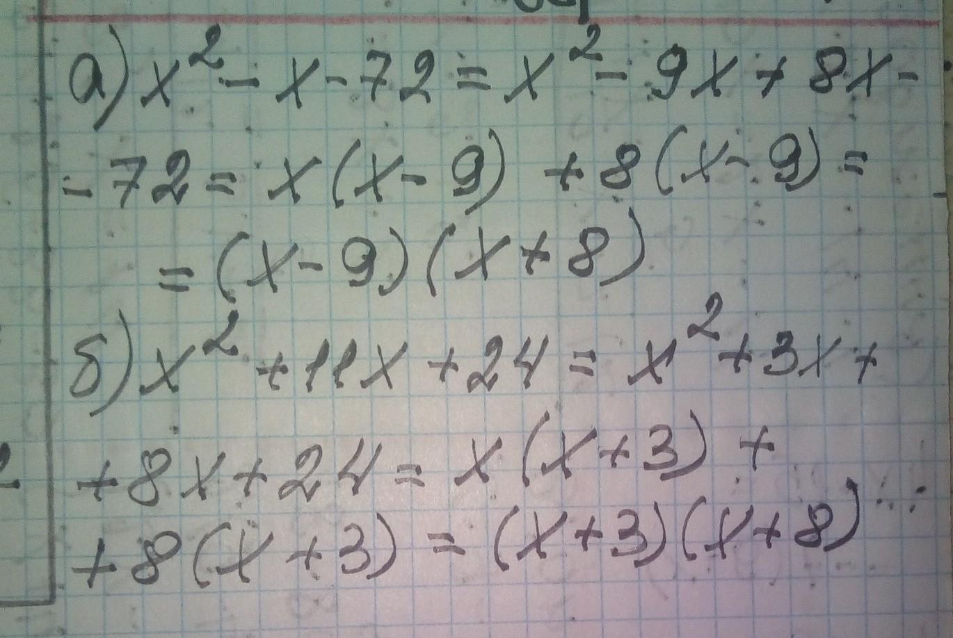
Ответ:
решение смотри на фотографии
Приложения:


Вас заинтересует
1 год назад
1 год назад
1 год назад
1 год назад
3 года назад
8 лет назад