• Предмет: Алгебра
  • Автор: mariabraznik1289
  • Вопрос задан 2 года назад

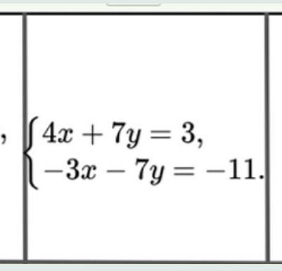
Помогите пожалуйста зайчики, способом підстановки

Приложения:

Ответы

Ответ дал: farbusov
1
Фотографииииииииииии
Приложения:
Вас заинтересует