• Предмет: Алгебра
  • Автор: KaTkAfff
  • Вопрос задан 2 года назад

СРОООЧНООО!!! помогите пожалуйста.

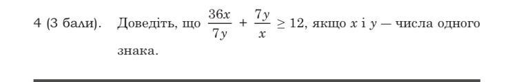
Приложения:

Ответы

Ответ дал: hderyb
1

Объяснение:

Сделаю замену, пускай

t=\frac{x}{7y}

Тогда неравенство принимает вид

36t+t^{-1} \geq 12\\36t^{2} -12t+1\geq 0\\\\(t-\frac{1}{6})^{2}\geq 0

Неравенство справедливо для всех t, а значит, и всех ненулевых x и y

Вас заинтересует