Ответы
Ответ дал:
0
Ответ:
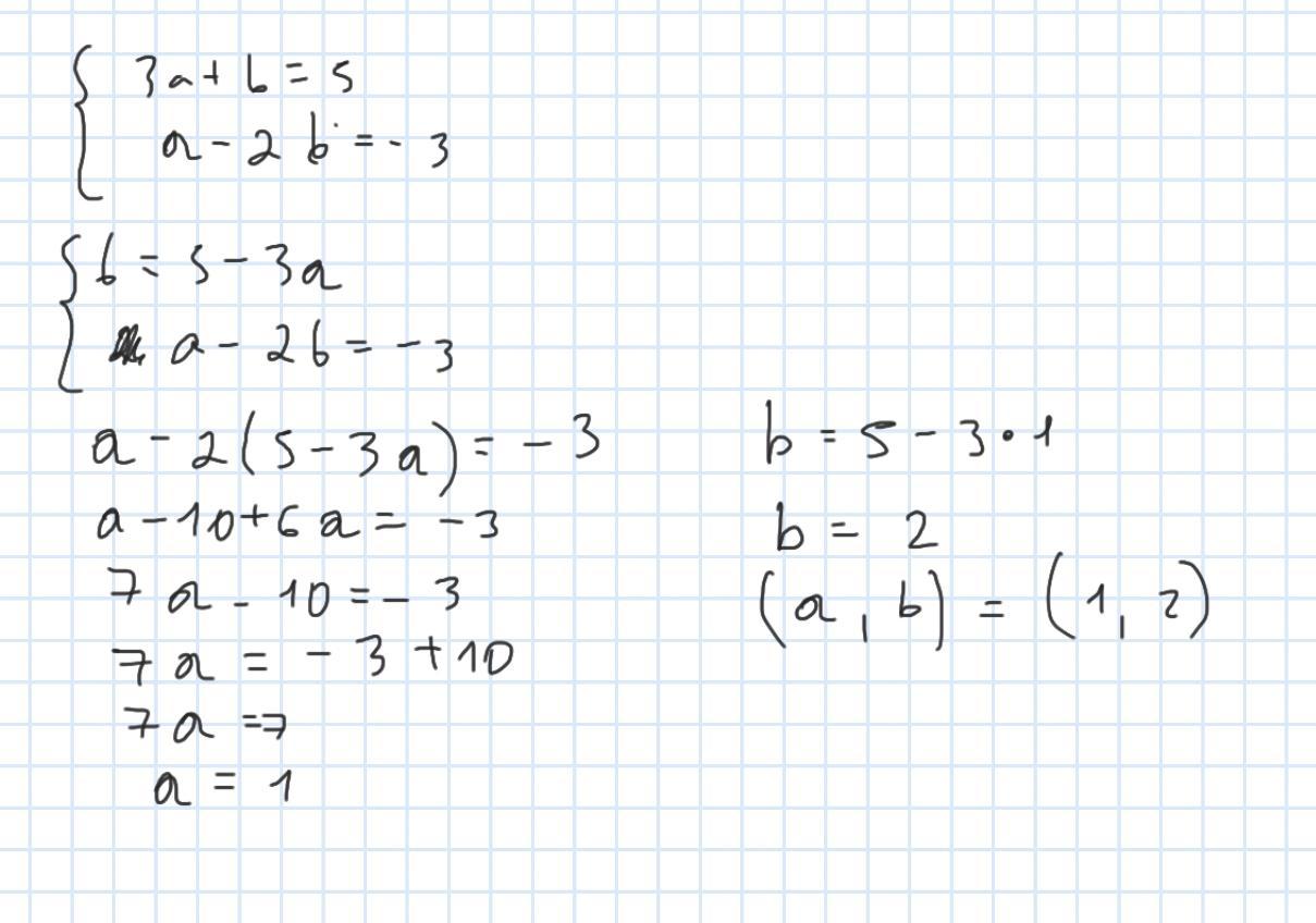
держи ответ
Объяснение:
Приложения:

Вас заинтересует
1 год назад
1 год назад
1 год назад
1 год назад
3 года назад