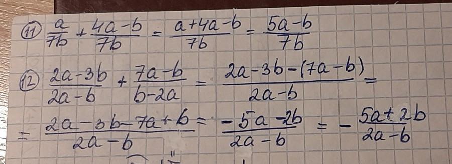
39.11. Представьте в виде рациональной дроби выражение: 3) 2+1; 9 Р x y 10) a b 5 x 8 y 3 2a 3 a + + x 4 y ; 3a-b 2a 2) 5) 8) d 6 12 11) 3 2 x 17y 24c a ть 2 3 x a² + b² + 25 у 36 c ; 4a-b 7ь a² ; + b2 равно 2. 9) a За 6) + 5c 12) 4 с ; 5 а 7a 18b 45b ; 2a-3b 7a-b 2a-b b-2a + 100 баллов!!!!
Приложения:

Ответы
Ответ дал:
1
Объяснение:
.........................
Приложения:


litvinenkod993:
что эьо
Ответ дал:
4
Решение на прикреплённой фотографии
Приложения:


Вас заинтересует
1 год назад
1 год назад
1 год назад
1 год назад
3 года назад
3 года назад
8 лет назад