• Предмет: Алгебра
  • Автор: tuftufggg
  • Вопрос задан 2 года назад

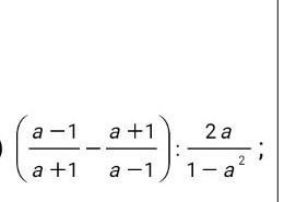
ДАЮ 50 БАЛЛОВ !!!!!!!!!!!​

Приложения:

Ответы

Ответ дал: dariya182010
0

Пояснення:

просто перепиши

Приложения:
Вас заинтересует