• Предмет: Математика
  • Автор: tedimedvedi
  • Вопрос задан 10 лет назад

Вот такое вот, HELP! 
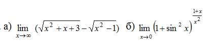
Найти следующие пределы.

Приложения:

Ответы

Ответ дал: NNNLLL54
0
Смотри решение во вложении
Приложения:
Ответ дал: M0RDOK
0
Мне не нужна теория, только имя математика, который доказал что можно по отдельности устремить базис, а потом с пределом базиса устремлять экспонент.
Ответ дал: NNNLLL54
0
Развил теорию пределов небезызвестный вам Коши.
Ответ дал: M0RDOK
0
Опять-же, как быть с тем пределом, который я привёл как контр.пример? По-вашему получается 0, а в природе стремится к 1... Ладно, буду рад продолжить беседу в привате.
Ответ дал: NNNLLL54
0
Нарушена непрерывность в вашем примере
Ответ дал: M0RDOK
0
Дык у автора функция в x=0 тоже не определена. А если рассматривать односторонний предел для F:(0,inf)--->|R F(x)=x^(x^2) - F непрерывна на всей области.
Вас заинтересует