• Предмет: Алгебра
  • Автор: PaintNavernoe
  • Вопрос задан 2 года назад

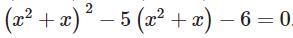
Розв’язати рівняння за допомогою заміни змінної:

Приложения:

Ответы

Ответ дал: kirosamigos
1

Ответ:

сподіваюсь все правильно (-3;2)

Объяснение:

Заміна: x^2+2=t

t^2-5t-6=0

t1+t2=5 t1=6

t1•t2=-6 t2=-1

x^2+x=-1

x^2+x=6

x не належить R

x^2+x-6=0

x1+x2=-1 x1=-3

x1•x2=-6 x2=2

Відповідь: x1=-3;x2=2

Вас заинтересует