• Предмет: Математика
  • Автор: mailytyui1234
  • Вопрос задан 2 года назад

помогите пожалуйста!!

Приложения:

Ответы

Ответ дал: mxtur4
1

Ответ:

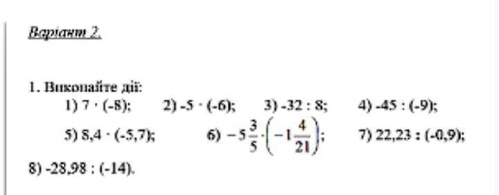
1.

1) 7×(-8)=-56

2) -5×(-6)=30

3) -32:8=-4

4) -45:(-9)= 5

5) 8,4×(-5,7)=-47,88

6) -5\frac{3}{5} *(-1\frac{4}{21})= -\frac{28}{5} *(-\frac{25}{21}) =   \frac{28}{5} *\frac{25}{21}=4*\frac{5}{3}=\frac{20}{3}  =6\frac{2}{3}

7) 22,23:(-0,9)= -24,7

8) -28,98:(-14)= 2,07

Ответ дал: lmaobb
1

Ответ:

1) 7*(-8) = -56

2) -5 * (-6) = 30 (минус минус дает плюс)

3) -32:8 = -4

4) -45 : (-9) = 5 (минус минус дает плюс)

5) 8,4 * (-5,7) = 84 * -57 = 4788, в двух числах запятая была после 1 цифры, теперь 1+1 = 2, 2 запятые, т.е. 47,88

6) -5 3/5 * (-1 4/21) = -\frac{28}{5} * (-\frac{25}{21}) - вычислим и упростим выражение

Затем, 4 * \frac{5}{3} - вычислим --> \frac{20}{3} --> 6 2/3

7) 22,23 : (-0,9) = 2223 : (-9) = -247, добавляем запятую и получаем -24,7

8) -28,98 : (-14) = -2898 : (-14) = 207 (минус минус дает плюс), добавляем запятую --> 2,07

Вас заинтересует