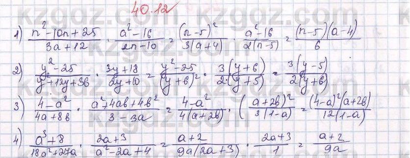
40.12. Упростите выражение: n² - 10n+25 a² - 16 3а+12 2n-10 258 1) 3) 4-a² a2 +4ab+4b2 4a+8b 3-3а 2) 4) уг - 25 у² +12y+36 3y+1 2y+ 3 a° +8 2a+ 18a2 + 27a a²-2a
Ответы
Ответ дал:
5
Ответ:
1 n² - 10n + 25 = (n-5)²
2 4-a² = (2+a)(2-a)
3 a²+4ab+4b² = (a+2b)²
4 уг - 25 у² +12y+36 = (y-2)(3y+6-y²)
5 a° +8 2a+ 18a² + 27a = 9a²+2a+8
6 a²-2a = a(a-2)
Объяснение:
ajnuraabildaeva2:
Спасибо большое за помощь
Ответ дал:
8
Ответ:
Вот
Объяснение:
Приложения:

Вас заинтересует
1 год назад
1 год назад
1 год назад
1 год назад
3 года назад
8 лет назад