Ответы
Ответ дал:
1
Ответ: 1) x = 11/21, 2) a = 9
Пошаговое объяснение:
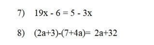
1) 19x - 6 = 5 - 3x --> переносим
19x+3x = 5 +6
21x = 11
x = 11/21
2) (2a+3)-(7+4a)= 2a+32 --> раскроем скобки
2a + 3 - 7 - 4a = 2a +32 --> получилось -4а потому что перед скобкой (7+4a) стоял минус
2a - 2a - 4a = 32 + 7 - 3 --> 2a и -2a самоуничтожаются
-4a = 36
a = 36/4
a = 9
Пометь как лучшее, пожалуйста))
dimanoskoff:
спасибо
Ответ дал:
1
7) 19х+3х=5+6
22х=11
х=11/22 (сокращаем на 11)
х=1/2
8) 2а+3-(7+4а)=2а+32 / ( 2а и 2а сокращаем)
3-7-4а=32
-4-4а=32
-4а=32+4
-4а=36
а=36:(-4)
а=-9
Ответ: 7) х=1/2; 8) а=-9
22х=11
х=11/22 (сокращаем на 11)
х=1/2
8) 2а+3-(7+4а)=2а+32 / ( 2а и 2а сокращаем)
3-7-4а=32
-4-4а=32
-4а=32+4
-4а=36
а=36:(-4)
а=-9
Ответ: 7) х=1/2; 8) а=-9
Вас заинтересует
1 год назад
1 год назад
2 года назад
3 года назад