• Предмет: Алгебра
  • Автор: don202352ga
  • Вопрос задан 2 года назад

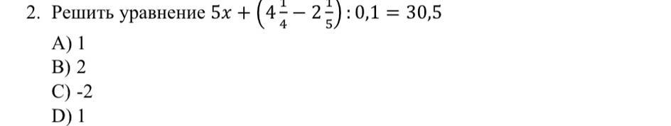
Решите уравнение 5+(41−21):0,1=30,5

A) 1 B) 2 C) -2 D) 1

Приложения:

Ответы

Ответ дал: javohirjoraqulov9
1

Ответ:

правильный вариант ответа В

Приложения:
Вас заинтересует