• Предмет: Математика
  • Автор: sumaya211206
  • Вопрос задан 2 года назад

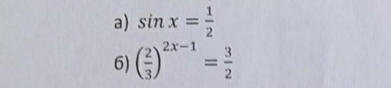
помогите пж, дам 20 балов ​

Приложения:

Ответы

Ответ дал: xTerners
0

Ответ:

на прикріпленим файлом

Приложения:
Вас заинтересует