Ответы
Ответ дал:
1
Ответ:
См. ниже.
Фото графиков отправлены последовательно.
Объяснение:
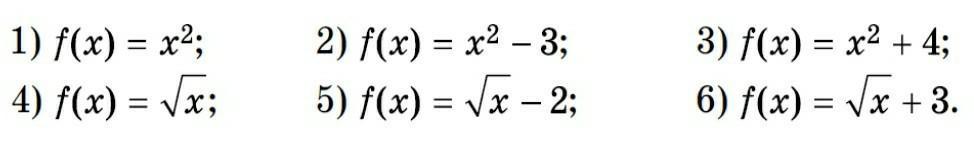
1) f(x) = x²
Обл. определения x∈R
Обл. знач. f(x)∈[0;+∞)
2) f(x)=x²-3
Корни: (-√3;0) (√3;0)
Обл. определения x∈R
Обл. знач. f(x)∈[-3;+∞)
Т.min (0;-3)
Пересечение с OY (0;-3)
3) f(x)=x²+4
Обл. определения x∈R
Обл. знач. f(x)∈[4;+∞)
Т.min (0;4)
Пересечение с OY (0;4)
4)f(x)=√x
Обл. определения x≥0
Обл. знач. f(x)∈[0;+∞)
Т.min (0;0)
Пересечение с OY (0;0)
5) f(x)=√x - 2
Корни (4;0)
Обл. определения x≥0
Обл. знач. f(x)∈[-2;+∞)
Т.min (0;-2)
Пересечение с OY (0;-2)
6) f(x)=√x + 3
Обл. определения x≥0
Обл. знач. f(x)∈[3;+∞)
T.min (0;3)
Пересечение с OY (0;3)
Приложения:

Вас заинтересует
1 год назад
1 год назад
1 год назад
3 года назад
3 года назад
8 лет назад
8 лет назад