Алгебра. Даю 100 балів. потрібно вирішити завдання з максимальним поясненням щоб було усе зрозуміло будь ласка.
з дуже детальним поясненням будь ласка



Ответы
Объяснение:
1.
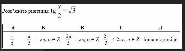
tg(x/2)=√3 ; ОДЗ х≠π+2πn,n∈z
x/2=π/3+πn,n∈z
x=2π/3+2πn,n∈z ; x≠π+2πn,n∈z
х=2π/3+2πn,n∈z
ответ : Г
2.
х³-4|х|=0
х³-4х=0; х≥0 х³-4(-х)=0; х<0
х(х²-4)=0 ; х≥0 х³+4х=0 ; х<0
х=0; х= -2 ; х=2; х≥0 х(х²+4)= ; х<0
х=0 ; х∉R ; х<0
пересеч: х=0; х=2 перес: ø
обьедин : х=0 ; х=2
уравнение имеет 2 решения : х1=0; х2=2
ответ: В
3.
D=a
Vсферы=4πR³/3=4/3•πR³
R=D/2=a/2
V=4/3•π•(a/2)³=4/3•π•a³/8=1/6•πa³ см³
ответ: Г
Ответ:
1) Решить уравнение .
Ответ: Г .
2) Уравнение .
Рассмотрим два случая .
Значение переменной х= -2 не входит в рассматриваемый промежуток х ≥ 0 . Поэтому решениями будут .
Это значение переменной x не входит в рассматриваемый промежуток .
Ответ: В) уравнение имеет два действительных решения :
3) Если круг вращается около своего диаметра, то образуется шар .
Диаметр круга равен а : d = a .
Объём шара вычисляется по формуле : .
Ответ: Г .