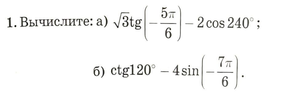
Алгебра 9 класс 20 баллов
Приложения:

creeperboomminecraft:
С решением или только ответ тоже сойдет
Ответы
Ответ дал:
1
Ответ:
Объяснение:
надеюсь правильно
Если есть ошьбка извините 7клас
Приложения:

Вас заинтересует
1 год назад
1 год назад
1 год назад
1 год назад
3 года назад
3 года назад
8 лет назад