• Предмет: Математика
  • Автор: Аноним
  • Вопрос задан 2 года назад

я вас умоляю родные ответьте кто то от звания Умный пжжж

Приложения:

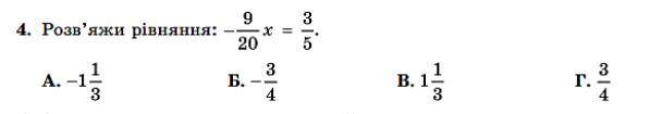
aarr04594: А)

Ответы

Ответ дал: sssiw
0

Ответ:

-1 1/3

Пошаговое объяснение:

- 9/20x=3/5

x=3/5 : (- 9/20)

x= 3/5* (-20/9)

x= -4/3

там все сокращается (5 и 20, 3 и 9)

Ответ дал: iramazurk
0

Ответ:

А) -1 1/3

Пошаговое объяснение:

-9/20х = 3/5

х = 3/5 : (-9/20)

х = 3/5 * (-20/9)

х = 1/1 * (-4/3)

х = -4/3

х = -1 1/3

Вас заинтересует