• Предмет: Алгебра
  • Автор: kirazuravel88
  • Вопрос задан 2 года назад

допоможіть будь ласка !!!!!​

Приложения:

Ответы

Ответ дал: nanchic
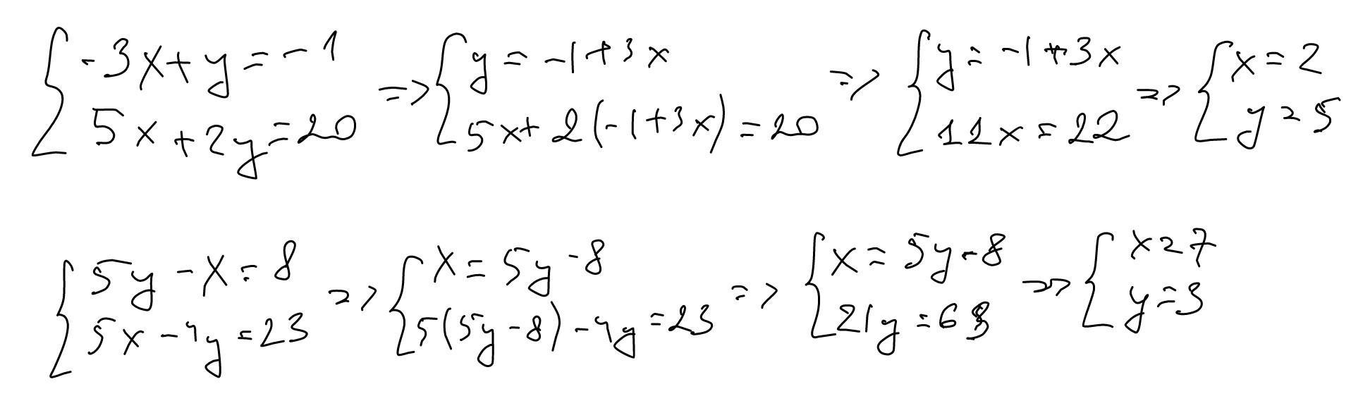
1

Відповідь і пояснення:

на фото

Приложения:

nanchic: Інколи не розумію як ставиться оцінка за відповідь... Чим Вас не задовольнила відповідь, що поставили 4?
Вас заинтересует