Алгебра. Даю 100 балів. потрібно вирішити завдання з максимальним поясненням щоб було усе зрозуміло будь ласка.
з дуже детальним поясненням будь ласка
Приложения:



Ответы
Ответ дал:
1
Объяснение:
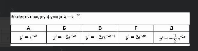
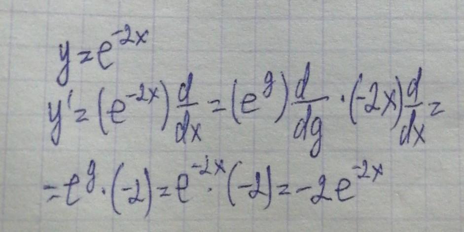
1. на фото
ответ: Б
2.
Р(-0,8;0,6)
значение косинуса лежит на оси 0х
соsα= -0,8
ответ: А
3.
векторы АС и NK противоположные,поэтому
АС= -NK= -a
AC=2•(-a)= -2a
ответ: Д
Приложения:

Вас заинтересует
1 год назад
1 год назад
1 год назад
3 года назад