• Предмет: Математика
  • Автор: olyshkssch
  • Вопрос задан 2 года назад

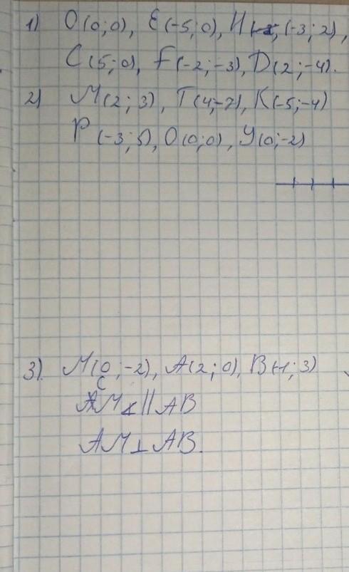
1) Знайдіть координати точок, зображених на рисунку 1.
2.) Позначте на координатній площині точки C(3; 5); В(-3;4); M(0; 4); P(-2:0); K(5;-2).
3.Через точку А, що лежить поза прямою с проведіть пряму:
а) паралельну прямій с;
б) перпендикулярну прямій с.​

Приложения:

Ответы

Ответ дал: nataladubosko4
4

у меня такая же кр была недавно

Приложения:
Вас заинтересует