• Предмет: Алгебра
  • Автор: kpeldoxoxpsps
  • Вопрос задан 2 года назад

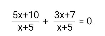
решите уравнение
ПОМОГИТЕ ПОЖАЛУЙСТА!!!

Приложения:

Ответы

Ответ дал: MiguelHayakawa
0

Ответ:

x = - 17/8

Объяснение: на фото



by Miguel
no diff

Приложения:
Ответ дал: Universalka
0

\displaystyle\bf\\\frac{5x+10}{x+5} +\frac{3x+7}{x+5} =0\\\\\\\frac{5x+10+3x+7}{x+5} =0\\\\\\\frac{8x+17}{x+5} =0\\\\\\8x+17=0\\\\8x=-17\\\\x=-2\frac{1}{8}\\\\x=-2,125


Аноним: Доброго дня! Допоможіть мені будь ласка з алгеброю, завдання у моєму профілі. Буду дуже вдячна!
Вас заинтересует