• Предмет: Алгебра
  • Автор: nk06112009nk
  • Вопрос задан 2 года назад

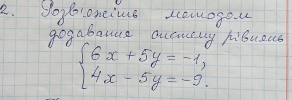
допоможіть будь ласка даю 35б
очень срочно

Приложения:

Ответы

Ответ дал: bruh1ily
1

Ответ:

рішення дивись на фото;)

Приложения:
Вас заинтересует