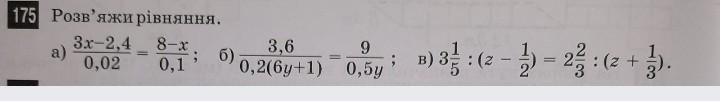
Ответы
Ответ дал:
1
Ответ:
....................
Приложения:



kovsunangelina11:
Спасибо громное!
Вас заинтересует
1 год назад
1 год назад
1 год назад
3 года назад