помогите пожалуйста
Приложения:

ВикаБач:
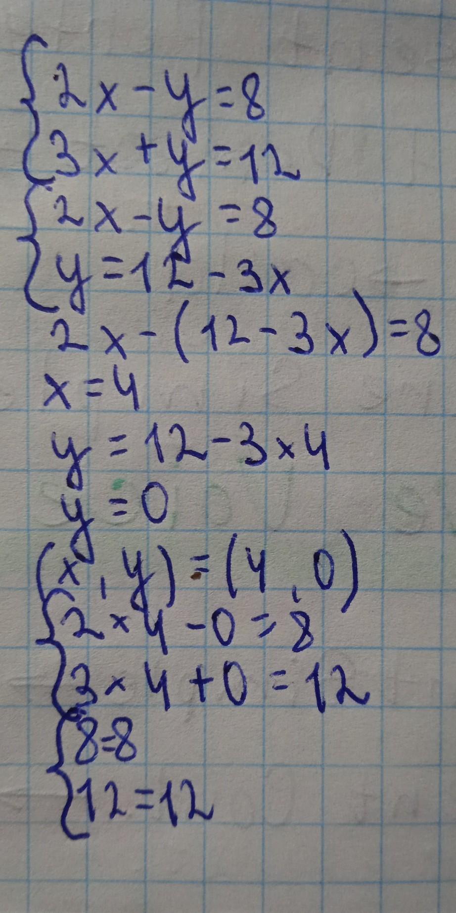
1) 5х=20; х=4; 12+у=12; у=0; 2) 7у=7; у=1; 3х+2=8; х=2;
Ответы
Ответ дал:
1
Ответ:
вот там во 2 8=8 надеюсь помогла
-1=-1
Приложения:


Вас заинтересует
1 год назад
1 год назад
1 год назад
3 года назад
3 года назад
8 лет назад