• Предмет: Алгебра
  • Автор: seva006
  • Вопрос задан 2 года назад

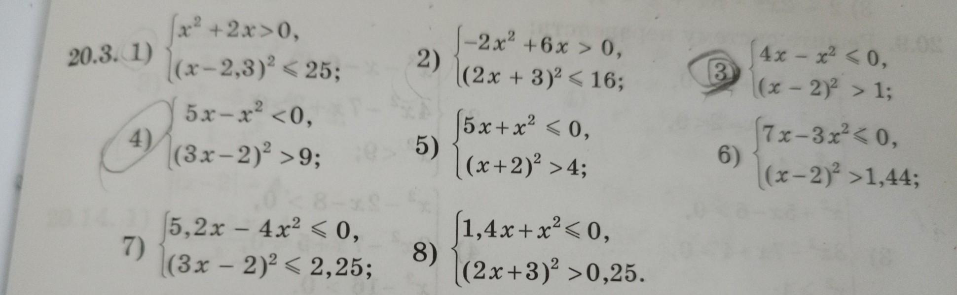
помогите пожалуйста мне нужно 3,4​

Приложения:

Ответы

Ответ дал: Ilyazov45
1

----------------------‐-----

Приложения:

seva006: спасибо
Вас заинтересует