• Предмет: Алгебра
  • Автор: gnazar9641
  • Вопрос задан 2 года назад

ДОПОМОЖІТЬ БУДЬ ЛАСКА 50 БАЛІВ

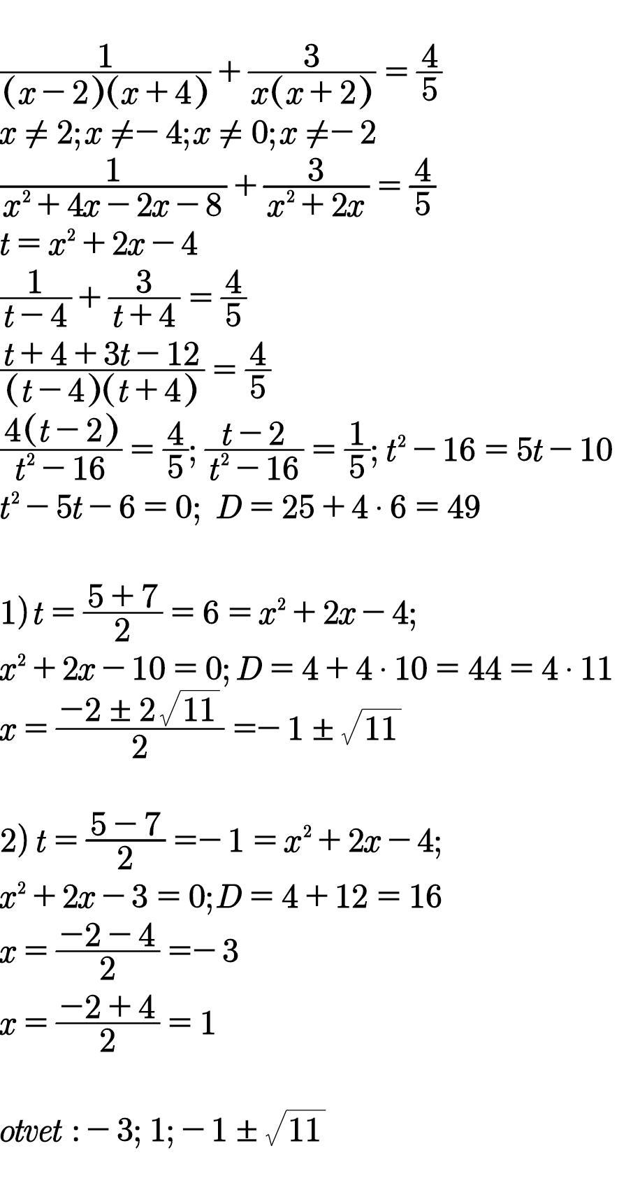
Використовуючи заміну змінної

Приложения:

Ответы

Ответ дал: tamarabernukho
0

Ответ:

Объяснение:

....................

Приложения:

svetlanaa70: Здравствуйте tamarabernukho, а можете пожалуйста помочь с математикой?
Вас заинтересует