Алгебра. Даю 100 балів. потрібно вирішити завдання з максимальним поясненням щоб було усе зрозуміло будь ласка.
з дуже детальним поясненням будь ласка



Ответы
Ответ:
Уравнения и неравенства с модулями .
1) Неравенство эквивалентно двойному неравенству
. Поэтому
Ответ: .
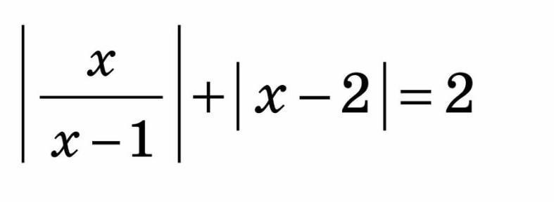
2) Преобразуем сначала уравнение .
Модули обращаются в 0 при х=0 , х=1 , х=2 .
Рассмотрим уравнение на четырёх промежутках , на (-∞ ; 0 ] , ( 0 ; 1 ] ,
( 1 ; 2 ] , ( 2 ; +∞ ) . На каждом промежутке выражения под знаками модулей будут иметь разные знаки и модули будут раскрываться по правилу :
Если выражение под знаком модуля неотрицательно, то модуль этого выражения равен самому себе . А если выражение под знаком модуля отрицательно, то модуль этого выражения равен противоположному выражению .
Подходит значение х = 0 , принадлежащее рассматриваемому промежутку .
Значение х=0 не входит в рассматриваемый промежуток .
Подходит значение х = 2 .
х=2 не подходит .
Выбираем подходящие значения переменной .
Ответ:
3) Аналогично решаем неравенство с модулем .
Модули обращаются в 0 при х=2 , х=3 , но в ОДЗ не входят х≠1 , x≠3 .
Рассматриваем промежутки (-∞ ; 1 ) ∪ (1 ; 2 ) , [ 2 ; 3 ) , ( 3 ; +∞ ) .
Получили неверное неравенство .Значит на рассматриваемом промежутке нет решений .
Дробь равна 0 при любых значениях х , входящих в указанный промежуток . Поэтому решением будут .
Ответ: .