• Предмет: Алгебра
  • Автор: alyonamkrft
  • Вопрос задан 2 года назад

ДАЮ 20 БАЛЛОВ
Выберите те пары функций, графики которых паралельны
(Ответов должно быть несколько)

Приложения:

Аноним: Привіт, напиши мені в інсту, кину відповідь, andriicoval

Ответы

Ответ дал: NNNLLL54
0

Ответ:

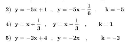
Прямые параллельны, если равны их угловые коэффициенты .

Уравнение прямой :  \bf y=kx+b  ,  k - угловой коэффициент .

Имеем три пары параллельных прямых:

\bf 2)\ \ y=-5x+1\ \ ,\ \ y=-5x-\dfrac{1}{6}\ \ ,\ \ \ \ k=-5\\\\4)\ \ y=x+\dfrac{1}{3}\ \ ,\ \ \ y=x-\dfrac{1}{3}\ \ \ ,\ \ \ \ \ \ k=1\\\\5)\ \ y=-2x+4\ \ ,\ \ y=-2x\ \ \ ,\ \ \ \ \ \ \ k=-2                                    

Приложения:
Вас заинтересует