• Предмет: Физика
  • Автор: qzx5216
  • Вопрос задан 1 год назад

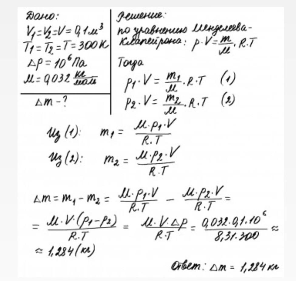
В баллоне объемом 100л находится кислород при температуре 27градусов. Часть кислорода вышла, при этом давление в баллоне уменьшилось на 10 атм.
Определить массу утраченного кислорода. Температура постоянная

Ответы

Ответ дал: perizattazabek22
0

ответ: m= 1,284 кг......................

Приложения:
Вас заинтересует