• Предмет: Математика
  • Автор: Polya45345
  • Вопрос задан 2 года назад

даю 100 баллов.................

Приложения:

Ответы

Ответ дал: iramazurk
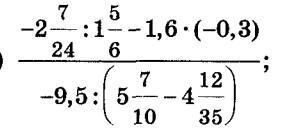
1

Ответ:

0,11

Пошаговое объяснение:

1) -2 7/24 : 1 5/6 = -55/24 ; 11/6 = -55/24 * 6/11 = -5/4 * 1/1 = -5/4 = -1,25

2) 1,6 * (-0,3) = -0,48

3) -1,25 - (-0,48) = -1,25 + 0,48 = -0,77

Это числитель

4) 5 7/10 - 4 12/35 = 5 49/70 - 4 24/70 = 1 25/70 = 1 5/14

5) -9,5 : 1 5/14 = -95/10 : 19/14 = -95/10 * 14/19 = -5/5 * 7/1 = -35/5 = -7

Это знаменатель

8) -0,77 : (-7) = 0,11

Это результат всего примера


Polya45345: спасибочки большое!!!
Вас заинтересует